发布时间:2012-07-17
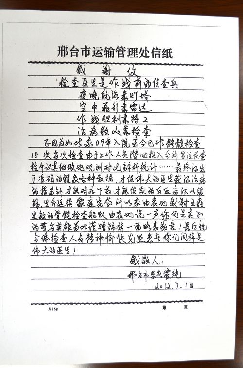
7月12日,一位患者来到检验科,亲手将一面锦旗、感谢信交到了该科史敏和王鑫的手里。
该患者来自邢台山区,身患白血病,需要一次次做骨髓检查。正常情况下此项检查至少三天才能出报告,往往返返的时间及经济花费给患者造成了沉重的负担。骨髓室史敏主任得知这一情况,决定加班加点为患者提前送出报告结果。患者非常感动,特意当面致谢。
一件小事竞引起患者如此深情的感谢,进一步激发了检验科全体同事全心全意为患者服务的热情。
文:付洁 高羽高
上一篇:感谢信——医者仁之术者也
下一篇:致收费处的一封表扬信