新闻公告

河北医科大学第二医院党政后勤岗位工作人员招聘(2022年3月)复试工作安排

发布时间:2022-06-11

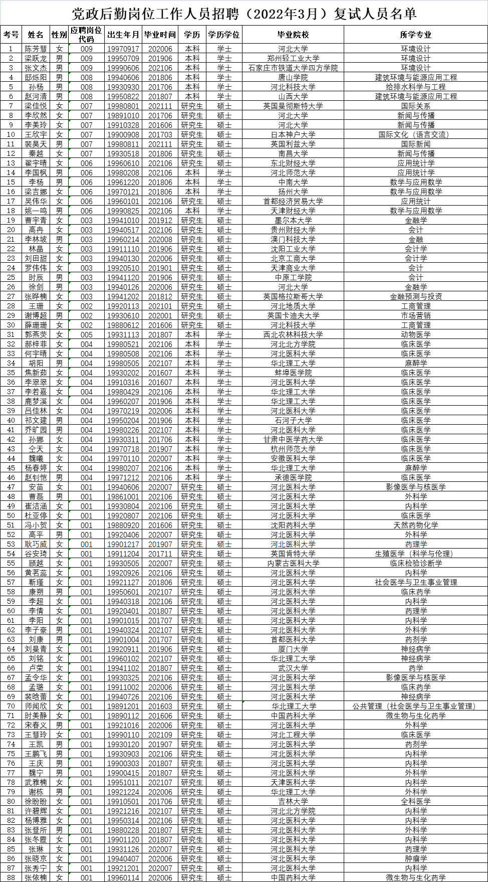
根据医院招聘工作人员计划及程序,医院定于2022年6月13日采取线上面试的形式进行复试。以下人员进入复试环节,具体名单见附表。具体安排如下:

2022年6月13日复试腾讯会议室号码:191-950-817

2022年6月13日上午 8:10-12:00 复试考号1-31号

2022年6月13日下午13:00开始(中间休息20分钟) 复试考号32-88号

请参加复试人员提前下载腾讯会议软件,调试设备。为确保复试工作顺利进行,进入会议室前须进行报名工作,请按以上腾讯会议室号码搜索,如实填写报名信息,经工作人员审核后方可完成报名工作,报名时间为2022年6月12日14:00至17:00,联系电话66002240。请务必在报名关闭前完成报名工作,以免耽误参加复试。所有参加复试人员提前20分钟进入会议室等待。

所有应聘人员不得携带任何参考资料进入考场,不得有替考等任何作弊行为,一经核实取消应聘和录用资格。

河北医科大学第二医院

2022年6月11日